960化工网
Extremely selective fluorescence detection of cysteine or superoxide with aliphatic ester hydrolysis†
Dhiraj P. Murale,Hwajin Kim,Wan Sung Choi,Youngsam Kim,David G. Churchill
RSC Advances Pub Date : 09/12/2014 00:00:00 , DOI:10.1039/C4RA06891B
Abstract

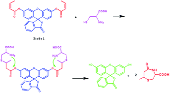
A novel fluorescence probe modality demonstrated with fluorescein affords a highly selective aqueous-based detection of cysteine over other biothiols, e.g. homocysteine, with a limit of detection of 11.3 μM.

Graphical abstract: Extremely selective fluorescence detection of cysteine or superoxide with aliphatic ester hydrolysis
平台客服
平台客服
平台在线客服