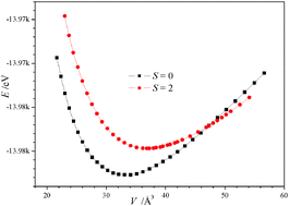
Using first principles density functional theory (DFT), the electronic and magnetic properties as well as the Li-ion migration in LiCoO2 have been studied with a gradient corrected functional. The magnetic properties were also investigated in addition using a gradient corrected functional in combination with an on-site repulsion U and a hybrid functional. We find LiCoO2 to be non-magnetic under ambient conditions. A magnetic ground state can be obtained by a volume expansion corresponding to a negative pressure of −8 GPa due to a competition between Hund's rules favoring magnetism on the Co3+ ions and the crystal field splitting, which suppresses magnetism at zero pressure. The barrier for lithium transport is determined to be 0.44 eV from nudged elastic band (NEB) calculations on the Li0.917CoO2 system.
