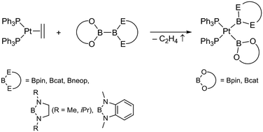
A series of five unsymmetrical platinum(II) bis-boryl complexes, bearing two distinct boryl ligands, are obtained by the oxidative addition reaction of unsymmetrical diborane(4) derivatives, bearing either two different dialkoxy or one dialkoxy and one diamino boryl moiety, with [(Ph3P)2Pt(C2H4)]. All five complexes were structurally and spectroscopically characterised. The bis-boryl platinum(II) complexes exhibit slightly distorted square-planar cis-boryl structures with acute B–Pt–B angles, short B⋯B distances of 2.44–2.55 Å and relatively long trans-boryl P–Pt distances around 2.34 Å. The 31P–195Pt NMR coupling constants are indicative for the strongly donating/trans-influencing boryl ligands. Despite the structural and spectroscopic data at hand no finally conclusive order of the donor properties/trans-influence of the boryl ligands can be deduced on the basis of these data. This may be explained by an (residual) interaction of two boryl ligands.
