960化工网
Environmentally benign, one-pot synthesis of pyrans by domino Knoevenagel/6π-electrocyclization in water and application to natural products
Ene Jin Jung,Byung Ho Park,Yong Rok Lee
Green Chemistry Pub Date : 09/22/2010 00:00:00 , DOI:10.1039/C0GC00265H
Abstract

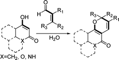
In water medium, environmentally benign, facile, and efficient synthesis of pyrans was achieved in good yields by the reactions of a variety of cyclic 1,3-dicarbonyls with several α,β-unsaturated aldehydes. The key strategy was a formal [3+3] cycloaddition by domino Knoevenagel/6π- electrocyclization. This methodology was applied to the synthesis of biologically interesting pyranocoumarin, pyranoquinolinone, and pyranonaphthoquinone derivatives along with selected natural and non-natural products.

Graphical abstract: Environmentally benign, one-pot synthesis of pyrans by domino Knoevenagel/6π-electrocyclization in water and application to natural products
平台客服
平台客服
平台在线客服