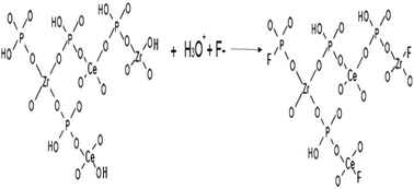
In this research work, mesoporous zirconium phosphate (mzrp) and cerium loaded mesoporous zirconium phosphate with different Zr/Ce molar ratios (1 : 0, 1 : 1, 2 : 1, 5 : 1) (Cemzrp) were synthesized and used for the removal of fluoride ions from aqueous solutions. The adsorbents were prepared by a surfactant assisted route and characterized using different instrumental techniques like XRD, N2 adsorption/desorption isotherms, FTIR and SEM. The analysis of results of experimental data indicates the formation of uniform mesopore zirconium phosphate and framework substitution of cerium on it. Adsorption experiments were conducted as a function of adsorbent dose, equilibrium pH, initial fluoride concentration, contact time, kinetics and Langmuir isotherms. The adsorption kinetic studies indicate that the overall adsorption process was best described by pseudo-second-order kinetics. The experimental adsorption isotherm was in good concordance with the Langmuir isotherm model (R2 = 0.999) and based on the Langmuir isotherm model, the maximum adsorption capacity of fluoride ions from aqueous solutions was found to be 20.5 mg g−1. The enthalpy and entropy were found to be 27.73 kJ mol−1 and 96.21 J mol−1 K−1 respectively. The endothermic nature of the adsorption process is ascertained from the result. The results show that cerium loaded mesoporous zirconium phosphate having a Zr to Ce molar ratio of 2 : 1 (Cemzrp2) can be used as an effective adsorbent for the removal of fluoride ions from wastewater.
