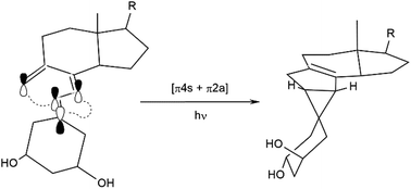
The UV-induced photochemical reaction of 1α,25-dihydroxy-9-methylene-19-norvitamin D3 has been investigated. The pentacyclic structure of the isolated product has been unequivocally established by X-ray crystallographic analysis. The possible reaction paths of the examined photochemical transformation are discussed. Biological in vivo and in vitro tests proved that the photoproduct is devoid of calcemic activity.
