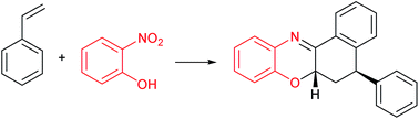
The polymerisation inhibitor, 2-nitrophenol reacts with radicals generated in self-initiated thermal styrene polymerisation to form the unexpected benzoxazine 1. We propose the mechanism for the formation of 1 and show that it is produced by a radical mediated C–H activation.

