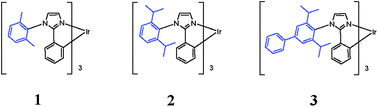
As an extension of our previous study, three sky-blue homoleptic iridium(III) complexes 1–3 with fluorine-free phenylimidazole ligands were synthesized and their photophysical, electrochemical and thermal properties were studied. All the complexes showed high photoluminescence quantum yields ranging from 0.50 to 0.53. The introduction of a bulky isopropyl group at the 2,6-position of N-phenyl of the phenylimidazole ligands increases the quantum yield and the decomposition temperature of the iridium(III) complexes. As the conjugated system of the ligand becomes larger, a very small bathochromic-shift of 1 nm was observed in complex 3 (475 nm) compared with complexes 1 (474 nm) and 2 (474 nm). All the OLED devices showed high current efficiencies of over 20 cd A−1 at the luminance of 1000 cd m−2. Devices incorporated with complexes 1–3 all showed longer lifetime in comparison with that of a FIrpic-based device.
