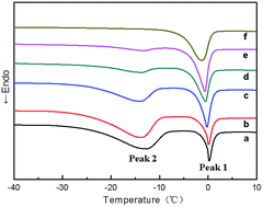
Poly(vinyl alcohol) (PVA)/hydroxyapatite (HA) composite foams suitable for bone tissue restoration were prepared through thermoplastic molding foaming using water as both a plasticizer and physical blowing agent. The effects of HA content on the foaming properties of the composites including the water states, water evaporation behaviors, interactions among the components as well as the cell structure and mechanical properties of the composite foams were studied. The results showed that HA nano-particles could form different hydrogen bonding or coordination interactions with water and PVA, thus making the bounded water in the system increase to a larger extent and the phase transition temperature of free water shift from 0.24 °C to −1.26 °C, consequently changing the relative content of different water. In this way, more nonfreezing water was formed, which was beneficial to the controllable foaming of water. HA particles could also act as a heterogeneous nucleating agent, thus effectively increasing the number of heterogeneous nucleating points in the system. With an increase in the HA content, foams with a more dense and uniform cell structure were obtained, and the mean size of the cell decreased from 760 μm (HA 0 wt%) to 270 μm (HA 20 wt%). The addition of HA improved the compression yield strength and compression modulus of the composite foams.
