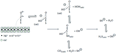
MgAlCe hydrotalcite-like compounds (HTLCs) were synthesized by following co-precipitation methods based on different proportions of Al : Ce. Metal oxides derived from HTLCs were tested in the catalytic hydrolysis of carbonyl sulfide (COS) at the relatively low temperature of 50 °C. The removal effect of COS strongly correlated to the proportion of Al : Ce, pH during synthesis and calcination temperature. Hydro-thermal temperatures were applied to improve the crystallinity of the materials and the catalysts were characterized by X-ray diffraction (XRD), thermogravimetry (TG) and Brunauer–Emmett–Teller (BET) methods. These results may contribute to a more full understanding of the effect of preparation conditions on the hydrolysis of COS. The optimum preparation conditions were found to be a 16 : 1 ratio of Al : Ce, a pH of 8 during synthesis, a hydro-thermal temperature of 140 °C, and a calcination temperature of 600 °C. The catalyst prepared under these conditions demonstrated an impressive efficiency (100%) sustained for approximately 80 minutes at a relatively low temperature of 50 °C and space velocity of 5000 h−1.
