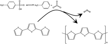
We report for the first time the use of p-toluene sulphonic acid (PTSa) and other sulphonic acids as trace-free oxidants for polymerisation of poly (bi-) and (ter-) thiophene. Sulphur is reduced from the oxidation state +6 to +4, leaving only SO2 and an aromatic compound to evaporate during the polymerisation.
