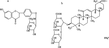
In this study, a novel method based on high performance liquid chromatography (HPLC) following infrared-assisted extraction (IRAE) has been developed for the determination of liquiritin and glycyrrhizic acid in licorice root. Liquiritin and glycyrrhizic acid are important active components present in licorice (Glycyrrhiza uralensis Fisch). Four factors, extraction solvent, solid/liquid ratio, illumination time, and the distance between the infrared lamp and the round-bottom flask, were investigated to optimize the extraction method of liquiritin and glycyrrhizic acid from licorice root. Under optimum conditions, i.e. 50% methanol solution as the extraction solvent, a solid/liquid ratio of 1 : 100 g mL−1, an illumination time of 10 min, and a distance between the infrared lamp and the round-bottom flask of 3 cm, the extraction yield reached the highest value. In addition, to demonstrate the feasibility of the IRAE-HPLC method, the conventional microwave-assisted extraction (MAE) and ultrasonic extraction (USE) methods were used for the analysis of liquiritin and glycyrrhizic acid in licorice root. The HPLC method was validated for parameters including linearity, reproducibility, analytical limits, accuracy, and recovery. The experimental results showed that the IRAE-HPLC is a simple, rapid, efficient, and green analytical preparatory method for the determination of liquiritin and glycyrrhizic acid in licorice root as well as a potential tool for the extraction of liquiritin and glycyrrhizic acid from licorice root.
