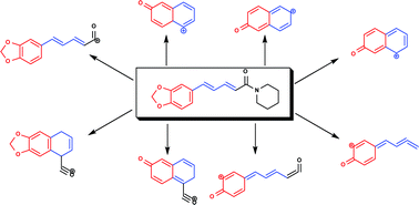
A rapid, specific and reliable high-performance liquid chromatography combined with quadrupole time-of-flight dual electrospray ionization mass spectrometry (LC/Q-TOF-dual ESI-MS) method has been developed and validated for the identification and characterization of stressed degradation products of piperine. Piperine, an anti-hypertensive drug, was subjected to hydrolysis (acidic, alkaline and neutral), oxidation, photolysis and thermal stress, as per ICH-specified conditions. The drug showed extensive degradation under oxidation and hydrolysis (acid and base) stress conditions. However, it was more stable under thermal stress than under acidic, alkaline, neutral and photolysis stress conditions. A total of four degradation products were observed and the chromatographic separation of the drug and its degradation products was achieved on a C18 column (4.6 × 50 mm, 5 μm). To characterize the degradation products, fragmentation patterns and accurate masses of the degradation products were established by subjecting them to LC-MS/Q-TOF analysis. Structure elucidation of the degradation products was achieved by comparing their fragmentation patterns with that of the drug, and confirmation was achieved through profiling a black pepper extract (Piper nigrum L.). The method identified dihydropiperine, piperylin, piperlonguminine, trans-piperine, cis-piperine, dihydropiperlonguminine, trans-piperettine and cis-piperettine. The liquid chromatography-mass spectroscopy method was validated with respect to its specificity, linearity, accuracy and precision.
