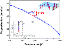
Novel 1–3 type multiferroic composite thin films were prepared via a simple 0–3 composite fabrication process. The orientation of the Ni0.5Zn0.5Fe2O4 (NZFO) nanocrystals in the BaTiO3–Ni0.5Zn0.5Fe2O4 (BTO–NZFO) composite thin films was controlled by magnetron sputtering, and the controlling effect of such orientation on magnetoelectric coupling was investigated in detail. The NZFO lattice in the BTO–NZFO composite thin films grew with (100) orientation under the induction of the (111) plane of Si. The transfer of substrate stress between the closely contacted grains also contributes to the orientation of the NZFO nanocrystals. The 0.6BTO–0.4(100)NZFO multiferroic composite thin film exhibited a magnetization strength of 9.2% at the Curie point of the BTO phase, showing extremely strong magnetoelectric coupling characteristics. This work provides an effective strategy for the development of high-performance multiferroic composites, and brings about new conception of realizing strong magnetoelectric coupling effect from the perspective of physical chemistry.
