化学产品
功能化工材料
生物产品
企业名录
结构式搜索
搜索
批量搜索
搜索
搜索
搜索
找化学品上
960化工网!
登录
注册
会员服务
会员套餐
首页广告投放
精准广告营销
软件服务
在线订购商城网站
普通化学网站建设
结构式搜索服务
生产项目管理
ERP管理系统
网站导航
首页
产品
厂家
化工词典
结构式搜索
资讯
问答
文献
企业QQ-库价通
特色专题
天然产物植提
小分子抑制剂
杂质对照品专题
生物多肽专题
化学产品
功能化工材料
生物产品
企业名录
结构式搜索
搜索
批量搜索
搜索
搜索
搜索
热搜:
Lactoyl-CoA
全氟丁基戊烷
白叶藤碱
全氟己基辛烷
新白叶藤碱
壳寡糖
特色专题-生物多肽
Toggle navigation
首页
产品
New
厂家
化工词典
结构式搜索
资讯
问答
文献
企业QQ-库价通
注册
登录
×
首页
产品
New
厂家
化工词典
结构式搜索
资讯
问答
文献
企业QQ-库价通
化学产品
功能化工材料
生物产品
企业名录
结构式搜索
搜索
批量搜索
搜索
搜索
搜索
×
×
请输入正确格式的CAS号(一行一个)
960化工网
文献
论文详情
搜索
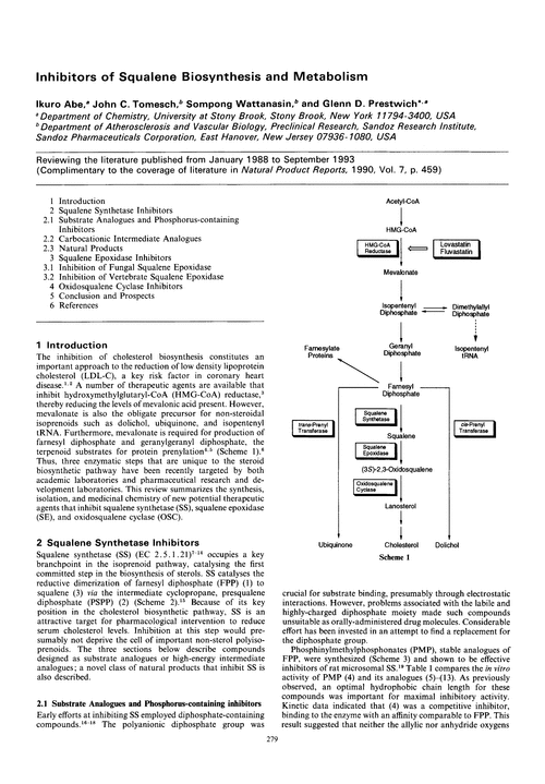
Inhibitors of squalene biosynthesis and metabolism
Natural Product Reports Pub Date : , DOI:
10.1039/NP9941100279
Abstract
The first page of this article is displayed as the abstract.
点击分享
查看原文
点击收藏
×
扫码分享
相关化合物
布替萘芬
Cas No:
101828-21-1
查看生产厂家
L-红-L-甘油-D-altro-7-十三烷基-7,4-呋喃甲酸,2,7-脱水-3,4-二-C-羧基-8,9,10,12,13-五脱氧-10-亚甲基-12-(苯甲基)-,11-乙酸酯,(7S)-(9CI)
Cas No:
142505-92-8
查看生产厂家
萨拉哥酸A
Cas No:
142561-96-4
查看生产厂家
Cas No:
145919-42-2
查看生产厂家
托萘酯
Cas No:
2398-96-1
查看生产厂家
反,反-法尼基溴
Cas No:
28290-41-7
查看生产厂家
二磷酸,对-[(1R,2R,3R)-2-[(3E)-4,8-二甲基-3,7-壬二烯-1-基]-2-甲基-3-[(1E,5E)-2,6,10-三甲基-1,5,9-十一烯-1-基]环丙基]甲基]酯-
Cas No:
29849-75-0
查看生产厂家
甲乙噻丁
Cas No:
441-61-2
查看生产厂家
N-methyl-N-(3-methylphenyl)-1-naphthalen-2-yloxy-methanethioamide
Cas No:
94256-64-1
查看生产厂家
推荐文献
Corrigenda
Front cover
Index pages
Book review
Diterpenoids
Marine natural products
Muscarine, oxazole, imidazole, thiazole, and peptide alkaloids, and other miscellaneous alkaloids
Secondary metabolism in plant tissue culture: scope and limitations
Tropane alkaloids
The biosynthesis of shikimate metabolites
平台客服
平台客服
平台在线客服
企业付费推广咨询
咨询电话
9145908
9145908
产品采购撮合咨询
咨询电话
13401937299
13401937299
(微信同号)
商铺操作使用咨询
咨询电话
025-86368114
025-86368114
×
收藏到
新增收藏夹
×
编辑