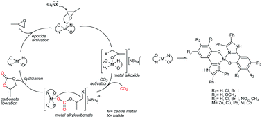
A series of metal complexes bearing 2-(imidazol-2-yl)phenol ligands (Zn, Cu, Ni, Co, Pb) were synthesized and their structures were characterized by IR, NMR, elemental analysis and X-ray. The catalytic activities of all complexes for the coupling reaction of CO2 and epoxide were then detected. The activity influence factors, such as temperature, time, pressure, substituents of ligands and metal centre, were systematically investigated. All these complexes were efficient to catalyze the coupling of CO2 and epoxide to generate cyclic carbonate in perfect yields (>90%) and selectivities (>99%) under optimized conditions of (2 MPa, 5 h, 110 °C) without any organic solvents. A 99.7% yield and >99% selectivity for propylene carbonate (PC) were obtained with C7/n-Bu4NI as catalyst system under the optimized conditions. The catalysts were also proved to be applicable to other terminal epoxides. It is worthy noted that the Pb(II) complex was firstly used to catalyze the coupling reaction of epoxides with carbon dioxide. Moreover, these metal catalysts were recyclable with only minor losses in catalytic activity after simple separation. Finally, a plausible mechanism was given.
