960化工网
N-Heterocyclic carbene-catalyzed oxidative [3 + 2] annulation of dioxindoles and enals: cross coupling of homoenolate and enolate†
De-Qun Sun
Chemical Science Pub Date : 11/09/2016 00:00:00 , DOI:10.1039/C6SC04135C
Abstract

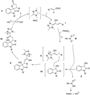
The N-heterocyclic carbene-catalyzed oxidative [3 + 2] annulation of dioxindole and enals was developed, giving the corresponding spirocyclic oxindole-γ-lactones in good yields with high to excellent diastereo- and enantioselectivities. The challenging aliphatic enals worked effectively using this strategy. The oxidative cross coupling of homoenolate and enolate via single electron transfer was proposed as the key step for the reaction.

Graphical abstract: N-Heterocyclic carbene-catalyzed oxidative [3 + 2] annulation of dioxindoles and enals: cross coupling of homoenolate and enolate
平台客服
平台客服
平台在线客服