960化工网
A powerful route to C-functionalised tetraazamacrocycles†
Frédéric Boschetti,Franck Denat,Enrique Espinosa,Jean-Marie Lagrange,Roger Guilard
Chemical Communications Pub Date : 02/03/2004 00:00:00 , DOI:10.1039/B315285E
Abstract

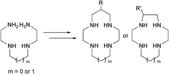
The bisaminal template approach represents a powerful synthetic tool for the preparation of various C-functionalised tetraazacycloalkanes which are efficient precursors of bifunctional chelating agents.

Graphical abstract: A powerful route to C-functionalised tetraazamacrocycles
平台客服
平台客服
平台在线客服