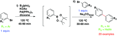
The one-pot borylation/Suzuki reaction is a very efficient means of accessing cross-coupling products of two aryl-halide partners that generally requires the use of specific catalysts or ligands and/or relatively long reaction times. This new microwave-assisted method provides a quick one-pot borylation/Suzuki reaction protocol that we applied to the synthesis of various bi- or poly-aryl scaffolds, including a variety of aryl and heteroaryl ring systems and the core frameworks of kinase inhibitors vemurafenib and GDC-0879.
