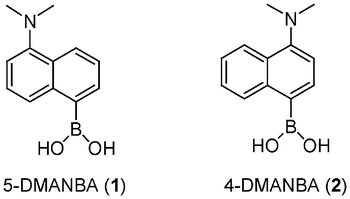
Two water-soluble naphthalene-based fluorescent boronic acid isomers, 5-(dimethylamino)naphthalene-1-boronic acid (5-DMANBA, 1) and 4-(dimethylamino)naphthalene-1-boronic acid (4-DMANBA, 2), have been synthesized; their fluorescent properties upon binding with carbohydrates have been determined in aqueous phosphate buffer at pH 7.4. The difference in substitution pattern between 1 and 2 leads to significant differences in their fluorescence properties. For example, addition of fructose (50 mM) to a solution of 1 induced a 61% fluorescence intensity decrease at 513 nm and a 36-fold increase at 433 nm. This revealed that compound 1 is a potential sensor for ratiometric sensing of sugars. The pH titration curves of 1 in the absence and the presence of fructose (50 mM) showed a 93- and 200-fold fluorescence intensity increase at 433 nm, respectively, when pH was increased from 3 to 10. Compound 2, however, does not show ratiometric fluorescent intensity changes, but shows significant fluorescence intensity increase upon addition of a sugar (41-fold intensity increase with 50 mM fructose). The emission intensity of 2 increased by over 170-fold at 445 nm upon changing the pH from 2 to 11.
