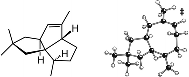
Quantum chemical calculations are used to assess various means of lowering the barrier for the dyotropic rearrangement previously proposed to occur during the carbocation rearrangement process promoted by pentalenene synthase. Several means of lowering this barrier, including a stepwise pathway for dyotropic rearrangement, are uncovered.
