960化工网
Local heterogeneous dynamics of water around lysozyme: a computer simulation study
Sudipta Kumar Sinha,Sanjoy Bandyopadhyay
Physical Chemistry Chemical Physics Pub Date : 11/25/2011 00:00:00 , DOI:10.1039/C1CP22575H
Abstract

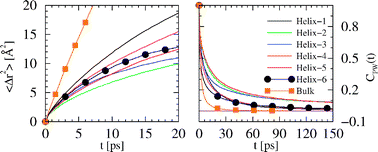
Water present near the surface of a protein exhibits dynamic properties different from that of water in the pure bulk state. In this work, we have carried out atomistic molecular dynamics simulation of an aqueous solution of hen egg-white lysozyme. Attempts have been made to explore the correlation between the local heterogeneous mobility of water around the protein segments and the rigidity of the hydration layers with the microscopic dynamics of hydrogen bonds formed by water molecules with the protein residues. The kinetics of breaking and reformation of hydrogen bonds involving the surface water molecules have been calculated. It is found that the reformations of broken hydrogen bonds are more frequent for the hydration layers of those segments of the protein that are more rigid. The calculation of the low-frequency vibrational modes of hydration layer water molecules reveals that the protein influences the transverse and longitudinal degrees of freedom of water around it in a differential manner. These findings can be verified by appropriate experimental studies.

Graphical abstract: Local heterogeneous dynamics of water around lysozyme: a computer simulation study
平台客服
平台客服
平台在线客服