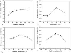
To investigate extraction technology and determine the optimal extraction conditions of polysaccharides from Phellodendron amurense Rupr. pollen (PARPP), an alkaline extraction method was carried out to extract PARPP with ultrasonic treatment. The effects of three independent factors [NaOH concentration (X1: 0.4–0.6%), ultrasonic temperature (X2: 30–50 °C), ultrasonic time (X3: 30–50 min)] on the extraction yield of PARPP were optimized using a response surface methodology. The principal conclusions establish the optimal extraction conditions under the ultrasonic power 250 W for Phellodendron amurense Rupr. pollen were as follows: X1: 0.52%, X2: 43.02 °C, X3: 38.64 minutes. Verification experiment was carried out, and no significant difference was found between observed and estimated values for each response. Under such optimal conditions, the experimental yield was 4.133 ± 0.02%, which was compatible with the value predicted by model 4.157%, suggesting that the estimated models were reliable and valid for extract of polysaccharides. The UV, FT-IR and GC/MS analysis of PARPP showed that it was a type, or variety, of glycoprotein, and was composed of ribose, rhamnose, arabinose, xylose, mannose, glucose, galactose with the ratio of 3.7 : 5.9 : 30.8 : 6.4 : 3.2 : 15.7 : 18.5.
