960化工网
Mimicking the oxidized glutathione-VIVO2+ species†
Evangelos J. Tolis,Manolis J. Manos,Aris Terzis,Catherine P. Raptopoulou,Themistoklis A. Kabanos
Dalton Transactions Pub Date : 02/10/2003 00:00:00 , DOI:10.1039/B212419J
Abstract

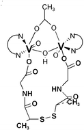
Sequential addition of bipy, or phen followed by H3mpg (a sulfhydryl-containing pseudopeptide) and AcONa·2H2O to VIVOSO4·5H2O in the presence of oxygen yields [(VIVO)2(μ-OH)(μ-OAc)(μ-H2mpgS–S)2L2xMeOH·yH2O (L = bipy, 1·1.68MeOH·0.75H2O or phen, 2·1.40MeOH·0.81H2O), containing the oxidized-S,S dimer of H3mpg [H2mpgS–S2−]; [(VIVO)2(μ-OH)(μ-OAc)(OAc)2(bipy)2] 3 was also prepared in a similar way to 1·1.68MeOH·0.75H2O using reduced glutathione instead of H3mpg.

Graphical abstract: Mimicking the oxidized glutathione-VIVO2+ species
平台客服
平台客服
平台在线客服