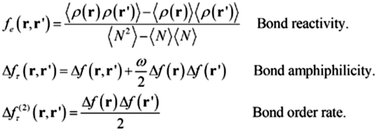
We define three new linear response indices with promising applications for bond reactivity using the mathematical framework of τ-CRT (finite temperature chemical reactivity theory). The τ-Fukui kernel is defined as the ratio between the fluctuations of the average electron density at two different points in the space and the fluctuations in the average electron number and is designed to integrate to the finite-temperature definition of the electronic Fukui function. When this kernel is condensed, it can be interpreted as a site-reactivity descriptor of the boundary region between two atoms. The τ-dual kernel corresponds to the first order response of the Fukui kernel and is designed to integrate to the finite temperature definition of the dual descriptor; it indicates the ambiphilic reactivity of a specific bond and enriches the traditional dual descriptor by allowing one to distinguish between the electron-accepting and electron-donating processes. Finally, the τ-hyper dual kernel is defined as the second-order derivative of the Fukui kernel and is proposed as a measure of the strength of ambiphilic bonding interactions. Although these quantities have never been proposed, our results for the τ-Fukui kernel and for τ-dual kernel can be derived in zero-temperature formulation of the chemical reactivity theory with, among other things, the widely-used parabolic interpolation model.
