960化工网
New mechanistic insights to the O(3P) + propene reaction from multiplexed photoionization mass spectrometry†
John D. Savee,Oliver Welz,Craig A. Taatjes,David L. Osborn
Physical Chemistry Chemical Physics Pub Date : 06/28/2012 00:00:00 , DOI:10.1039/C2CP41200D
Abstract

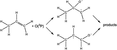
The reaction of O(3P) with propene (C3H6) has been examined using tunable vacuum ultraviolet radiation and time-resolved multiplexed photoionization mass spectrometry at 4 Torr and 298 K. The temporal and isomeric resolution of these experiments allow the separation of primary from secondary reaction products and determination of branching ratios of 1.00, 0.91 ± 0.30, and 0.05 ± 0.04 for the primary product channels CH3 + CH2CHO, C2H5 + HCO, and H2 + CH3CHCO, respectively. The H + CH3CHCHO product channel was not observable for technical reasons in these experiments, so literature values for the branching fraction of this channel were used to convert the measured product branching ratios to branching fractions. The results of the present study, in combination with past experimental and theoretical studies of O(3P) + C3H6, identify important pathways leading to products on the C3H6O potential energy surface (PES). The present results suggest that up to 40% of the total product yield may require intersystem crossing from the initial triplet C3H6O PES to the lower-lying singlet PES.

Graphical abstract: New mechanistic insights to the O(3P) + propene reaction from multiplexed photoionization mass spectrometry
平台客服
平台客服
平台在线客服