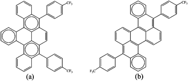
Two new contorted polycyclic aromatic hydrocarbons (PAHs) 1 and 2 have been synthesized by Perepichka and coworkers (Org. Lett., 2015, 17, 4224). In this work, we aim to clarify the effect of packings of the isomers on the charge-transfer mobility of PAHs by quantum chemistry calculations combined with the Marcus–Hush electron transfer theory. The isomers reveal dissimilar properties with PAH2 having a much smaller energy gap than PAH1. Significantly, the maximum hole mobility of PAH2 is nearly 3.5 times larger than that of PAH1, while the adiabatic ionization potential (IP) value of PAH2 is smaller than that of PAH1. In the solid state, PAH2 packs in a unique two-dimensional herringbone motif with high intrinsic hole mobility and suitable adiabatic ionization potential (IP) values making it a good p-type material.

