960化工网
New Securinega alkaloids with anti-HIV activity from Flueggea virosa†
Hua Zhang,Chuan-Rui Zhang,Ying-Shan Han,Mark A. Wainberg,Jian-Min Yue
RSC Advances Pub Date : 12/03/2015 00:00:00 , DOI:10.1039/C5RA22191A
Abstract

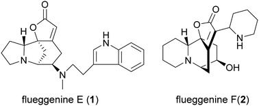
Chemical fractionation of the ethanolic extract of Flueggea virosa yielded a group of Securinega alkaloids including flueggenines E (1) and F (2) as novel hybrid structures, flueggenines G–I (3–5) as new dimers and fluevirosines E–H (6–9) as new trimers, along with six known biosynthetically related compounds. The diverse structures of these isolates were characterized via comprehensive spectroscopic analyses and comparison with literature data. Compounds 1 and 2 are rare Securinega alkaloid hybrids incorporating tryptamine and piperidine residues, respectively, while 3 represents the first example bearing a securinine-type monomeric unit among Securinega alkaloid dimers. An in vitro anti-HIV screening of all available alkaloids revealed weak to moderate activities for over half of these isolates with EC50 values ranging from 7.8 to 122 μM. Among the tested compounds, the known dimer flueggenine D exhibited the best activity with an EC50 of 7.8 ± 0.8 μM.

Graphical abstract: New Securinega alkaloids with anti-HIV activity from Flueggea virosa
平台客服
平台客服
平台在线客服