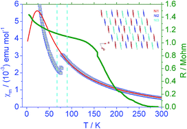
A new mixed-valence molecular crystal, [C3-Apy][Ni(dmit)2]3 (1) (dmit2− = 2-thioxo-1,3-dithiole-4,5-dithiolate and C3-Apy+ = 4-amino-1-propylpyridinium) was synthesized utilizing a facile solution process and a small size of counter-cation. This is distinct from the general strategy to obtain mixed-valence of [Ni(dmit)2] molecular crystal in which the large size counter-cation is desirable and the electrocrystallization method was used. The mixed-valence molecular crystal shows a magnetic phase transition around 77 K with a ca. 6 K thermal hysteresis loop. The crystal structure analysis at ambient temperature, the electronic band structure calculation based on the crystal structure, the variable temperature infrared spectra in 6–293 K, and the conductance measurements in 4–295 K were further performed, and the results revealed that 1 is a semiconductor and the magnetic phase transition is probably related to the electronic structure change in the {[Ni(dmit)2]3}1−.
