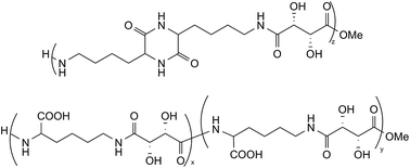
Oligoamides based on natural raw materials, L-lysine and L-tartaric acid, were synthesized using one-pot processes. An L-lysine diketopiperazine structure was obtained with good selectivity without protection/deprotection steps. Reactions were performed using two methods, the first involving the use of solvent and catalyst under a nitrogen atmosphere, the second exploiting the “raw” monomers under vacuum. The reaction products were characterized through FT-IR, NMR and MALDI spectroscopies, acid–base titration, SEC and polarimetric analyses. Thermal properties were evaluated by DSC and TGA analyses.
