960化工网
Solvothermal synthesis, structures and physical properties of four new complexes constructed from multi-variant tricarboxylate ligand and pyridyl-based ligands†
Chang-Chun Ji,Jing Li,Yi-Zhi Li,Zi-Jian Guo
CrystEngComm Pub Date : 09/08/2010 00:00:00 , DOI:10.1039/C003986A
Abstract

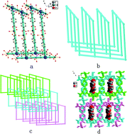
Solvothermal reactions of partially or wholly deprotonated biphenyl-3,4′,5-tricarboxylate (H3L) with nitrates of cadmium, manganese and cobalt, in the presence or absence of auxiliary 4,4′-bipyridine (bipy) and 1-(3,5-di(1H-imidazol-1-yl)phenyl)-1H-imidazole (timp) ligands in H2O–DMF, produce four new complexes, namely, {[Cd3(L)2(H2O)9]·(H2O)5}n (1), {[Cd2(HL)2(timp)(H2O)4]·(H2O)4}n (2), {Mn(HL)(bipy)0.5(H2O)}n (3), {Co(HL)(bipy)0.5(H2O)}n (4). Their structures have been determined by single-crystal X-ray diffraction analysis and further characterized by elemental analysis, IR spectra, and thermogravimetric analysis. Complex 1 possesses a three-dimensional (3D) framework composed of two-dimensional (2D) T-shaped molecular bilayer motifs polycatenated with each other. In complex 2, multicarboxylate ligands and timp ligands link Cd centers to generate one-dimensional (1D) ladder structures which are further connected by π–π interactions to form a 3D supramolecular structure. Complexes 3 and 4 are isostructural and possess 2D networks. Magnetic susceptibility measurements indicate that complexes 3 and 4 exhibit ferromagnetic coupling between adjacent Mn(II) ions and Co(II) ions. The photoluminescent properties of 1 and 2 have been studied in the solid state at room temperature.

Graphical abstract: Solvothermal synthesis, structures and physical properties of four new complexes constructed from multi-variant tricarboxylate ligand and pyridyl-based ligands
平台客服
平台客服
平台在线客服