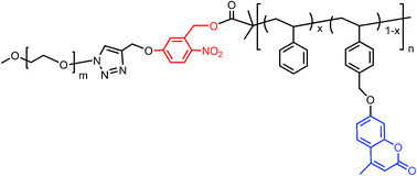
Nanoporous structures derived from self-assembled block copolymers (BCP) are a facile template for nanofabrications. In order to enhance the stability of the nanoporous structures toward collapse, which is of crucial importance for practical applications, cross-linking the matrix is an essential process. Most of the BCP precursors undergo separated processes of degradation and cross-linking. Here, we provided one-step fabrication of a stable nanoporous film from a BCP precursor by UV treatment, eliminating multistep processing. The BCP contains an ortho-nitrobenzyl (ONB) group as a UV degradable juncture and a coumarin group as the UV cross-linkable component. After UV exposure, the ordered nanoporous thin film was achieved, with carboxyl groups in situ generated. The tolerance to solvents was highly enhanced. This facile strategy provides promising applications in stable nanoporous scaffolds.
