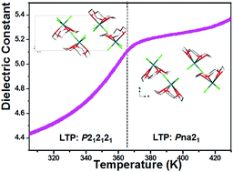
Two isostructural metal crown ether coordination compounds, (15-crown-5)(BiCl3) 1 and (15-crown-5)(SbCl3) 2, are discovered to show phase transitions above room temperature, where the phase transition temperature relates to the metal center. Compound 1 crystallizes in the chiral orthorhombic space group P212121 in the low temperature phase and undergoes a reversible phase transition around 365 K to crystallize in the polar orthorhombic space group Pna21 in the high temperature phase, accompanied by thermal and dielectric anomalies. The variable-temperature structure analyses of compound 1 show that the phase transition is rooted in the conformational change of the crown ether and the displacement of the Bi cation and Cl anion.
