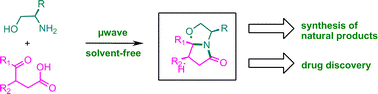
Microwave solvent-free conditions developed for Meyers’ lactamization, a typical bielectrophile-binucleophile reaction that produces quaternary centers in a stereoselective manner, give access to Meyers’ chiral lactams in good yield and high diastereoselectivity in short times.
