960化工网
Synthesis and revision of stereochemistry of rubescensin S†
Yangming Zhang,Wei Lu,Fa-Jun Nan
Organic & Biomolecular Chemistry Pub Date : 05/05/2011 00:00:00 , DOI:10.1039/C1OB05611E
Abstract

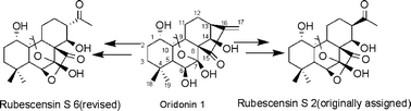
An effective two step transformation of oridonin to 15,16-seco-ent-kaurane skeleton is reported. We also achieved the conversion of one intermediate to natural product rubescensin S and revised its structure as a 13S configuration although 13R is reported in the literature.

Graphical abstract: Synthesis and revision of stereochemistry of rubescensin S
平台客服
平台客服
平台在线客服