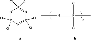
Polyphosphazenes (PPZs) are hybrid polymers comprising a main chain containing nitrogen and phosphorous linked through interchanging single and double bonds, and side chains. The two chlorine atoms attached to the phosphorous of polydichlorophosphazene, which is produced by thermal ring-opening and living-cationic polymerization, are significant in the importance of polyphosphazene, as they can be easily replaced by an uncountable number of nucleophiles, resulting in hundreds of different PPZs with different properties ranging from hydrophobic to hydrophilic, fast to slow degradation, and burst to sustained drug release. More than seven hundred types of PPZs are synthesized as a result of different combinations of side groups. For applications in drug delivery, PPZs can be treated in various ways and converted into different vehicles of nano/micro size to load and release drugs. This review covers the synthesis of PPZs and their different modifications, especially focusing on the side groups and different vehicles, including microspheres, micelles, films and hydrogels, that are involved in drug-delivery applications.
