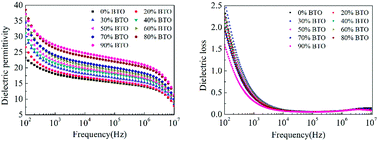
Cyanoethyl cellulose (CEC)/BaTiO3 (BTO) flexible nanocomposite films with enhanced dielectric properties were successfully prepared using a simple blend of CEC and BTO nanoparticles. The effects of BTO mass fraction on the morphology, microstructure, thermal stability, dynamic mechanical thermal analysis (DMTA), and mechanical properties, as well as dielectric properties of the as-prepared nanocomposite films were investigated. The results showed that the BTO nanoparticles of about 100 nm in size were dispersed homogenously in the CEC matrix without obvious agglomeration. The obtained nanocomposite films possessed higher thermal stability than the original CEC. DMTA revealed that the addition of BTO nanoparticles enhanced the glass transition temperature of the nanocomposite films. The mass fractions of the BTO nanoparticles had a significant effect on the tensile strength and elongation at break of the nanocomposite films. The dielectric permittivity of the nanocomposite films decreased gradually with frequency, the dielectric loss decreased sharply at low frequency, and had little change at higher frequency. The dielectric permittivity of the nanocomposite films gradually increased with increasing mass fraction of BTO nanoparticles at all of the frequencies. The dielectric loss of the nanocomposite films had a tendency to decrease with increasing mass fraction of BTO nanoparticles at 103 Hz, but the dielectric loss almost remained unchanged at the higher frequency. When the mass fraction of BTO nanoparticles was 90%, the nanocomposite film had the biggest dielectric permittivity of 27.24 at 103 Hz, the corresponding dielectric loss was 0.3023.
