960化工网
Ruthenium-catalyzed synthesis of 1,3,5-triazin-2(1H)-ones and dihydro[1,3,5]triazino[1,2-a]benzimidazoles from alcohols and guanides†
Chen Zhang
New Journal of Chemistry Pub Date : 06/15/2018 00:00:00 , DOI:10.1039/C8NJ02035C
Abstract

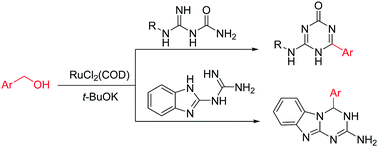
An efficient ruthenium-catalyzed synthesis of tri-substituted 1,3,5-triazinones from alcohols and guanylureas under mild conditions has been developed. The scope of both the alcohols and guanylureas in the reaction is demonstrated. This ruthenium-catalyzed ring-forming process can be successfully extended to 2-guanidinobenzimidazoles to afford substituted dihydro[1,3,5]triazino[1,2-a]benzimidazoles.

Graphical abstract: Ruthenium-catalyzed synthesis of 1,3,5-triazin-2(1H)-ones and dihydro[1,3,5]triazino[1,2-a]benzimidazoles from alcohols and guanides
平台客服
平台客服
平台在线客服