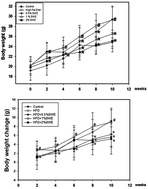
Obesity, being overweight and deposition of body fat are critically associated with metabolic disorders. The number of adipocytes and their lipid content, and the molecules involved in lipid metabolism are involved in obesity comorbidity. The food, Solanum nigrum L. (SN), has medical benefits in many aspects. In our recent report, SN was shown to reduce hepatic fat accumulation and oxidative stress, thus attenuating liver damage. However, it has not yet been explored whether SN is effective for weight loss and body fat reduction. Hence, we aimed to investigate if SN water extract (SWE) and the derived polyphenols (SNPE) are able to prevent obesity. Mice fed a high fat diet (HFD) and 3T3L1 cells model were used. The in vivo experiments showed SWE decreased serum triacylglyceride, cholesterol, and low-density lipoprotein (LDL)-cholesterol induced by a HFD. SWE promoted hepatic lipolysis by increasing PPARα and CPT-1, and inhibited lipogenesis by decreasing FaS and HMG-CoR. The expression of AMPK was enhanced, but sterol regulatory element binding proteins (SREBPs) were reduced by SWE, especially at 5%. In vitro analysis revealed that SNPE decreased the amount and lipid content of adipocytes. SNPE, especially at 0.5 mg mL−1, promoted lipolysis while inhibiting lipogenesis. In comparison with the doses applied in vivo and in vitro, the effect of SN could be attributed to the composition of the polyphenols. The results showed that SNPE is suggested to be an anti-obesity agent that is able to reduce body weight and body fat, by decreasing the amount and lipid content of adipocytes, and regulating lipid metabolism.
