960化工网
The photocatalytic role of electrodeposited copper on pencil graphite†
Arathi P. J.,Seemesh Bhaskar,Rajendra Kumar Reddy G.,Suresh Kumar P.,Ramanathan V.
Physical Chemistry Chemical Physics Pub Date : 01/08/2018 00:00:00 , DOI:10.1039/C7CP08383A
Abstract

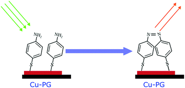
We report on the ability of template-electrodeposited copper on pencil graphite as a novel and cost effective photocatalyst by considering the photodimerization of p-aminothiophenol (p-ATP) to 4,4′-dimercaptoazobenzene.

Graphical abstract: The photocatalytic role of electrodeposited copper on pencil graphite
平台客服
平台客服
平台在线客服