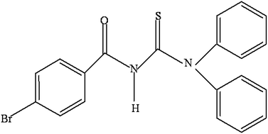
A method for separation and preconcentration of trace levels of palladium on silica-cetyltrimethyl ammonium bromide coated with N,N-diphenyl-N′-(4-bromobenzoyl)thiourea was reported. The effects of parameters such as pH, amount of silica, amount of ligand, flow rate, type and concentration of the stripping agent were investigated. Sorbed ions were quantitatively eluted using 4 mL of 0.2 mol L−1 thiourea. The preconcentration factors of 31.3 to 313 are easily achievable. The relative standard deviation of the method was <±5.85% for 10 replicate determinations of 0.002 to 1.0 μg mL−1 and the detection limit was 0.3 μg L−1. The applicability of the developed admicelle sorbent was investigated using synthetic samples and real samples such as standard reference material 2709 (San Joaquin Soil) and 2711 (Montana Soil).
