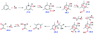
The reaction of 1,3,5-trimethylbenzene (TMB) with OH radicals is studied theoretically by using electronic structure calculations. The reaction of TMB with OH radicals is found to proceed by H-atom abstraction and OH addition reactions at the C1 and C2 positions of TMB. The rate constant is calculated for the initial H-abstraction and OH-addition reactions using canonical variational transition state theory (CVT) over the temperature range of 250 to 350 K. The results from the calculated thermodynamic parameters and kinetic calculations show that the formation of the TMB–OH adduct (I4) is more favorable with the rate constant of 11.8 × 10−12 cm3 molecule−1 s−1 at 298 K and the lifetime of TMB is 4 hours at a normal atmospheric OH concentration. The initially formed radicals from these reactions undergo atmospheric transformation by reacting with molecular oxygen leading to the formation of peroxy radical intermediates. The reaction of peroxy radicals with other atmospheric oxidants, such as HO2 and NO leads to the formation of products, such as trimethyl phenol, bicyclic peroxides, bicyclic carbonyl and methylglyoxal. The calculated thermodynamical parameters show that the reactions corresponding to the formation of the intermediates and products are highly exothermic. The results obtained from the current theoretical study are in excellent agreement with the available literature and elucidate the reaction pathways corresponding to the formation of secondary organic aerosols from TMB oxidation in the atmosphere.

