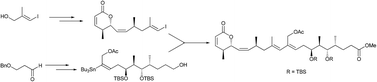
This article reported the synthesis of fully functionalized aglycone of lycoperdinoside A and B. Pd-catalyzed Stille–Migita cross coupling between E-vinyl iodide 6 and E-vinyl stannane 23 established the highly substituted E,E-diene unit present in lycoperdinoside A and B. The other two Z-olefins present in the molecule were introduced by means of cis-selective Horner–Wadsworth–Emmons reaction with Still–Gennari phosphonate. Evans syn- and anti-aldol reactions were utilized to fix six of the seven stereo centres present in the aglycone.
