960化工网
Synthesis and application of 4-[18F]fluorobenzylamine: A versatile building block for the preparation of PET radiotracers†
Ingrid Koslowsky,John Mercer,Frank Wuest
Organic & Biomolecular Chemistry Pub Date : 08/25/2010 00:00:00 , DOI:10.1039/C0OB00255K
Abstract

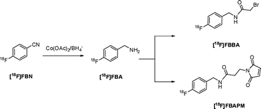
A novel synthesis of 4-[18F]fluorobenzylamine ([18F]FBA) by means of transition metal-assisted sodium borohydride reduction of 4-[18F]fluorobenzonitrile ([18F]FBN) is described. This approach could successfully be extended to borohydride exchange resin (BER) enabling a viable option for use in automated syntheses. [18F]FBA was used for the synthesis of 4-[18F]fluorobenzylamine-based thiol group-reactive prosthetic groups 4-[18F]fluorobenzyl-2-bromoacetamide ([18F]FBBA) and 4-[18F]fluorobenzylamidopropionyl maleimide ([18F]FBAPM). [18F]FBBA and [18F]FBAPM were obtained in radiochemical yields of 75% and 55%, respectively. Feasibility of using [18F]FBAPM as novel prosthetic group for peptide and protein labelling was demonstrated with cysteine-containing tripeptide glutathione (GSH). [18F]FBBA was used for labelling of a fully phosphorothioated 20mer oligodesoxynucleotide (ODN).

Graphical abstract: Synthesis and application of 4-[18F]fluorobenzylamine: A versatile building block for the preparation of PET radiotracers
平台客服
平台客服
平台在线客服