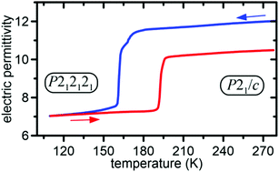
A discussion about the intriguing thermal and dielectric properties of (CH6N3)2MnCl4 reported by A. Sen et al., J. Mater. Chem. C, 2019, 7, 4838, is presented. We provide new experimental results and their interpretations consistent with the structural models of the crystal phases. The real thermodynamic parameters of the first-order phase transition and the dielectric properties of the crystal are completely different from those reported by Sen et al.
