960化工网
Synthesis, characterization and structures of 2-(3,5-dimethylpyrazol-1-yl)ethylseleno derivatives and their probable glutathione peroxidase (GPx) like activity†
Ananda S. Hodage,Prasad P. Phadnis,Amey Wadawale,K. I. Priyadarsini,Vimal K. Jain
Organic & Biomolecular Chemistry Pub Date : 03/03/2011 00:00:00 , DOI:10.1039/C0OB00807A
Abstract

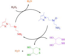
A series of 2-(3,5-dimethylpyrazol-1-yl)ethylseleno derivatives has been synthesized. The glutathione peroxidase like catalytic activity of these compounds has been studied in a model system, in which reduction of hydrogen peroxide with dithiothreitol (DTTred), in the presence of an organoselenium compound was investigated by 1H NMR spectroscopy. All these compounds exhibit GPx like catalytic activities and the catalytic reaction proceeds through a selenoxide intermediate, identified by 77Se{1H} NMR spectroscopy.

Graphical abstract: Synthesis, characterization and structures of 2-(3,5-dimethylpyrazol-1-yl)ethylseleno derivatives and their probable glutathione peroxidase (GPx) like activity
平台客服
平台客服
平台在线客服