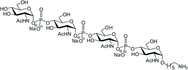
A tetrameric unit of the capsular polysaccharide of Neisseria meningitidis X (MenX) consisting of α-linked 2-acetamido-2-deoxy-D-glucosyl phosphate moieties has been prepared with excellent yield using a sequential stereoselective coupling strategy and conjugated with the tetanus toxoid protein to furnish the glycoconjugate derivative. Good yields were achieved in all intermediate steps. The immunochemical properties of the tetrasaccharide and semi-synthetic glycoconjugate derivative have been evaluated for the development of a potential MenX vaccine candidate.
