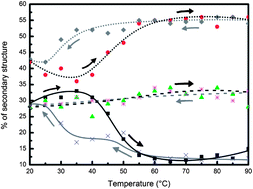
Lysozyme is associated with hereditary systemic amyloidosis in humans. Hen egg white lysozyme (HEWL) has been extensively studied as an amyloid forming protein. In this study, we investigated HEWL amyloid formation over a range of temperatures at two stirring speeds and at low concentrations to avoid gel formation. The amyloid fibril formation was found to follow first order kinetics with the rate determining step being the unfolding of the lysozyme. Both the rate of formation and final amount of amyloid formed show maxima with temperature at approximately at 65 °C. CD measurements show that the lysozyme is unfolded by 55 °C. The decrease in amyloid formation at temperatures above 65 °C is attributed to competing amorphous aggregation. The majority of the non-fibrillar aggregates are small and uniform in size with a few larger amorphous aggregates observed in the AFM images.
