The compound Tm5Ge4 is the last one in the family of R5Ge4 (R = rare earth elements with magnetic moments) compounds (exclusive of Pm and Eu) whose magnetic properties are still unknown. We prepared high quality Tm5Ge4, and report the detailed crystal structure and magnetic properties. Tm5Ge4 crystallizes in the Sm5Ge4-type orthorhombic structure at room temperature, and orders antiferromagnetically at
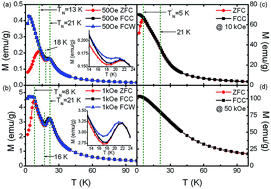
= 13 and TN = 21 K. The paramagnetic Curie temperature of Tm5Ge4 is positive (θp = 16 K), and the effective magnetic moment (peff = 7.4 μB/Tm) is in good agreement with the theoretical value of 7.56 μB/Tm3+. The ac susceptibility of Tm5Ge4 shows obvious frequency dependence behaviors suggesting the existence of a ferromagnetic cluster in the antiferromagnetic substance. According to the magnetic hysteresis loop, the intrinsic coercivity of Tm5Ge4 is 2616 Oe at 2 K. Tm5Ge4 exhibits an oscillating magnetocaloric effect owing to a metamagnetic-like transformation induced by a critical magnetic field below 21 K.
