960化工网
Transition metal carbene chemistry. Kinetic studies on the reactions of [methyl(thiomethoxy)carbene]pentacarbonylchromium(0) with morpholine in aqueous acetonitrile—a kinetic evaluation of pKaCH
New Journal of Chemistry Pub Date : 01/07/2003 00:00:00 , DOI:10.1039/B206888P
Abstract

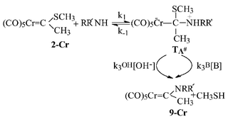
A kinetic study of the aminolysis of [methyl(thiomethoxy)carbene]pentacarbonylchromium(0), (CO)5Cr[double bond, length as m-dash]C(CH3)(SCH3) (2-Cr), with morpholine, a secondary amine, in 50% acetonitrile–50% water (v/v) at 25 ° C is reported. The second-order rate constant (kA in L mol−1 s−1) increases with amine concentration, giving a linear dependence with an intercept on the rate axis. The general base-catalyzed nature of the reaction was confirmed by the dependence of the rate on both amine and hydroxide ion concentrations. The mechanism proposed is very similar to those for ester reactions, involving a nucleophilic addition of amine to the substrate to yield a zwitterionic tetrahedral intermediate (TA#), followed by deprotonation of TA# to form TA in a fast step, which, in the third step, is converted to product by a general acid-catalyzed thiomethoxide expulsion. As the carbene itself acts as an acid and only the acid form is active towards aminolysis reactions, the protic equilibrium was evaluated through the aminolysis reaction with morpholine and was found to be in good agreement with the value reported earlier.

Graphical abstract: Transition metal carbene chemistry. Kinetic studies on the reactions of [methyl(thiomethoxy)carbene]pentacarbonylchromium(0) with morpholine in aqueous acetonitrile—a kinetic evaluation of pKaCH
平台客服
平台客服
平台在线客服